
IACS鋼芯耐熱鋁合金絞線概述:
IACS鋼芯耐熱鋁合金絞線也叫高強耐熱鋁合金導線,華倫線纜公司做為國內首條鋼芯耐熱鋁合金導線的制造者,高品質的質量和較低的市場價格,一直領導耐熱鋁合金導線的市場風向。
IACS鋼芯耐熱鋁合金絞線導電率為60%,也叫IACS鋼芯耐熱鋁合金導線、母線及特高強度鋼芯耐熱鋁合金導線.
一、標準
本產品按企業標準Q/SX113-2002生產。
二、名稱、型號及適用范圍
名稱 型號 適用范圍
鋼芯耐熱150℃鋁合金導線、母線 NRLH10GJ 本產品適用于輸電線路的改造,增擴容載流容量達40%~50% (用一根此導線可代替相同截面的兩根鋼芯鋁絞線)。截面積為240~1440mm2導線又廣泛用于變電站。發電廠內部作輸送大電流的母線。
特高強度鋼芯耐熱150℃鋁合金導線
NRLH60GJ
本產品適用于高壓輸電線路作架空導線用。
三、導線結構示意圖

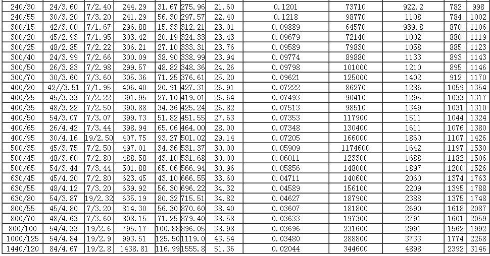
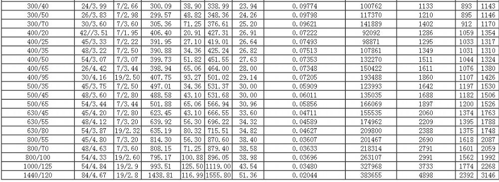
四、規格及主要技術參數
鋼芯耐熱鋁合金導線


特高強度鋼芯耐熱鋁合金導線


五、導線的使用特性
1、NRLH10GJ鋼芯耐熱鋁合金導線長期工作溫度150℃。
2、適用架空導線的特高強度鋼芯耐熱鋁合金導線采用進口高強度鋼芯,可使導線在150℃時的應力全部集中在鋼芯上,使得導線線芯不破壞,導線孤垂不會因溫度升高而加大。
3、與同截面的普通鋼芯鋁絞線相比,耐熱鋁合金導線150℃時的載流量比普通鋼芯鋁絞線載流量提高50%以上。
4、由于耐熱合金導線具有較好的載流特性,故在舊線路和特殊地區的換線中,可采用同等規模、截面的耐熱合金導線,在不改變鐵塔等的情況下,實現增容一倍的效果,使得導線具有較大的經濟性和適用性。
5、在特殊高寒地區,可用此導線作為熔冰導線,確保電力暢通。
附表:耐熱鋁合金圓線性能參數

| 上一條:高強度鋁合金導線,JLHA1、規格16-800 |
| 下一條:職業健康安全管理體系認證證書 |



